2024年云南專升本專業對照表發布之后,寶子們對于自己可以報考的院校及專業有了一個大致的了解,和往年相比,今年確實有很多專業面臨院校停招,甚至有小部分專業類別只有一個院校進行招生,所以小編對各專業類別對應的公/民辦招生院校、專業、學費、校區、新增、取消招生等情況匯總!
當然,每年專升本都會有一定的變化,在2024年正式參加專升本考試之前,一切都是未知數!我們能做的就是放平心態、好好復習,以積極的態度來面對即將到來的考試。
01、招生院校最多的八大專業類別

02、各專業類別對應招生院校及數量統計
英語
◆ 11所院校招生,4所民辦,7所公辦。

漢語言文學
◆ 17所院校招生,7所民辦,10所公辦。

旅游管理
◆ 11所院校招生,3所民辦,8所公辦。

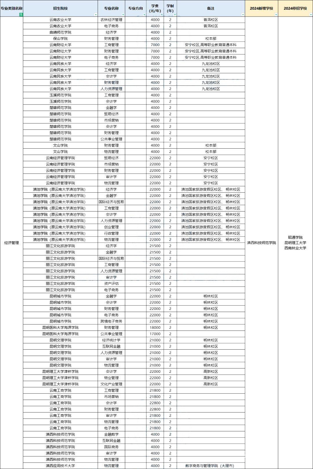
經濟管理
◆ 18所院校招生,8所民辦,10所公辦。

政教
◆ 12所院校招生,3所民辦,9所公辦。

地理
◆ 2所公辦院校招生。

學前教育
◆ 11所院校招生,4所民辦,7所公辦。

針灸推拿
◆ 1所公辦院校招生。

泰語
◆ 5所院校招生,2所民辦,3所公辦。

緬甸語
◆ 2所公辦院校招生。

老撾語
◆ 1所公辦院校招生。

中醫學
◆ 2所公辦院校招生。

中藥學
◆ 4所院校招生,2所民辦,2所公辦。

美術學
◆ 10所院校招生,3所民辦,7所公辦。

藝術設計
◆ 17所院校招生,7所民辦,10所公辦。

音樂學
◆ 8所院校招生,3所民辦,5所公辦。

音樂表演
◆ 3所院校招生,2所民辦,1所公辦。

舞蹈學
◆ 3所院校招生,2所民辦,1所公辦。

藝術教育
◆ 1所民辦院校招生。

廣播電視編導
◆ 3所民辦院校招生。

體育
◆ 15所院校招生,5所民辦,10所公辦。

計算機
◆ 18所院校招生,8所民辦,10所公辦。

電氣
◆ 8所院校招生,4所民辦,4所公辦。

農學
◆ 12所公辦院校招生。

動物
◆ 1所公辦院校招生。

醫學
◆ 2所院校招生,1所民辦,1所公辦。

數學
◆ 5所院校招生,1所民辦,4所公辦。

化學
◆ 9所院校招生,2所民辦,7所公辦。

機械
◆ 4所院校招生,3所民辦,1所公辦。

土木工程
◆ 11所院校招生,6所民辦,5所公辦。

地質
◆ 2所公辦院校招生。

測繪
◆ 2所院校招生,1所民辦,1所公辦。

護理
◆ 5所院校招生,4所民辦,1所公辦。

臨床醫學
◆ 1所民辦院校招生。

口腔醫學
◆ 1所民辦院校招生。

口腔醫學技術
◆ 1所民辦院校招生。

醫學檢驗技術
◆ 2所民辦院校招生。

醫學影像技術
◆ 2所民辦院校招生。

康復治療學
◆ 3所院校招生,2所民辦,1所公辦。

藥學
◆ 3所民辦院校招生。

水利
◆ 2所民辦院校招生。



